Activated Bamboo Charcoal’s Slow-Release Properties for Enhanced Anti-Acne Formulations Containing Bamboo Vinegar
Published 04 September, 2024
Bamboo vinegar is a concentrated liquid obtained from bamboo under high temperature and anaerobic conditions. It contains more than 200 organic components, including organic acids, phenols, ketones, alcohols, and esters, among which acetic acid is the main component. Although bamboo vinegar has been approved by the China Food and Drug Administration as a cosmetic raw material, commercially available bamboo vinegar often contains impurities whose efficacy is not clear, and phenolic compounds and aromatic hydrocarbons in it may be harmful to humans.
Nevertheless, bamboo vinegar has anti-acne potential, especially against the inhibitory effect of Propionibacterium acnes, the key microorganism in the pathogenesis of acne. While antibiotics are commonly used to treat acne, the concerns for drug resistance have limited their use.
In a study published in the Volume 1, Issue 2 in Journal of Dermatologic Science and Cosmetic Technology, a team of researchers from Central South University of Forestry and Technology in China explored the mechanism of the controlled-release system of bamboo vinegar and its application potential of in cosmetics.
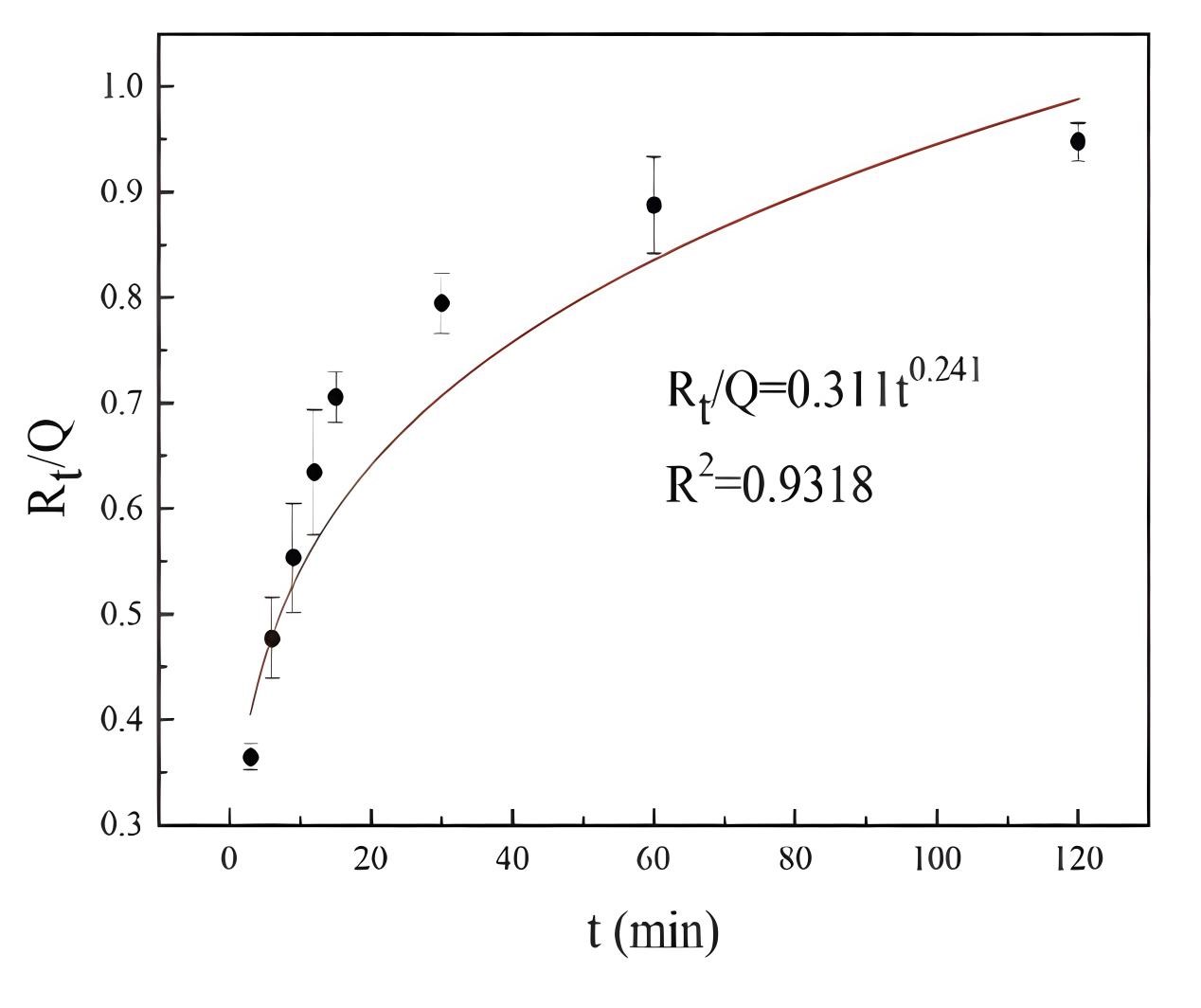
“Bamboo vinegar was refined through reduced-pressure distillation, which increased the content of organic acids, reduced tar content and enhanced the active ingredients while minimizing harmful components,” explains corresponding author Sheng Zhang. “We used activated bamboo charcoal to adsorb the bamboo vinegar, allowing for a gradual release over a period exceeding two hours, effectively demonstrating a slow-release effect.”
The findings auggest that refined bamboo vinegar could be a promising raw material for anti-acne cosmetic formulations. The release rate of the bamboo charcoal/bamboo vinegar complex in water reached 70.57% within 15 minutes and then slowed to a plateau. This slow-release behavior aligns with the Ritger-Peppas model, which is advantageous for reducing skin irritation and extending the bacteriostatic duration.
“The findings present a novel concept for anti-acne cosmetics and lay the groundwork for further research into the use of bamboo vinegar slow-release systems with bamboo charcoal as a carrier,” adds Zhang. “Future studies should explore additional cosmetic benefits of bamboo vinegar, such as dandruff removal, anti-wrinkle effects and more.”


Contact author:
Sheng Zhang, Central South University of Forestry and Technology, Changsha 410004, China, gingshen123@126.com
Conflict of interest:
The authors declare that they have no known competing financial interests or personal relationships that could have appeared to influence the work reported in this paper. Sheng Zhang is an Editorial Board Member for Journal of Dermatologic Science and Cosmetic Technology and was not involved in the editorial review or the decision to publish this article.
See the article:
, Inhibition of Propionibacterium acnes by refined bamboo vinegar and preparation of the slow-release system with bamboo charcoal as the carrier, Journal of Dermatologic Science and Cosmetic Technology, Volume 1, Issue 2, June 2024, 100016, https://doi.org/10.1016/j.jdsct.2024.100016
,